Action unknown: siteexport_addpage
cbrn:atomar:abstandquadratgesetz
Sie befinden sich in der bearbeitbaren Version des Einsatzleiterwiki-Projekts. Klicken Sie hier für allgemeine Informationen zum Projekt.
Diese Version (19.03.2025 18:31) wurde bestätigt durch christoph_ziehr.
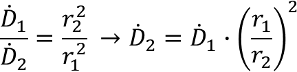
Abstandquadratgesetz
Bei Annäherung an eine punktförmige Strahlenquelle steigt die Dosisleistung im Quadrat (vierfache Dosisleistung bei halbem Abstand).
Quellenangabe
Bitte beachten Sie die Quellenangabe auf der Seite CBRN-Lexikon.
Stichwörter
Abstandsquadratsgesetz
cbrn/atomar/abstandquadratgesetz.txt · Zuletzt geändert: von christoph_ziehr


Diskussion